Введение
Иррациональные неравенства — одна из базовых тем в ЕГЭ по математике. Их сложность — в необходимости чётко соблюдать совокупность условий, следить за областью определения и аккуратно работать с равносильными переходами.
Иррациональное неравенство — это неравенство, в котором переменная содержится под знаком корня: √(f(x)).
Основные принципы
Перед тем как переходить к алгоритмам, запомни два ключевых факта о квадратном корне:
1. Область определения (ОДЗ):
Выражение под знаком квадратного корня должно быть неотрицательным.
√(f(x)) существует ⇔ f(x) ≥ 0.
2. Неотрицательность корня:
Арифметический квадратный корень — всегда число неотрицательное.
Основные типы неравенств и методы их решения
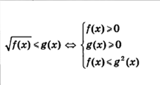
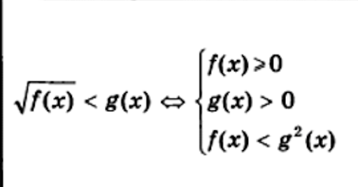
Тип 1:
$\sqrt{(f(x))} < g(x)$ или $\sqrt{(f(x))} \le g(x)$
Этот тип неравенств равносилен системе:
$$
\begin{cases}
f(x) \geqslant 0 \\
g(x) > 0 \\
f(x) < (g(x))^2
\end{cases}
$$
Логика:
- f(x) ≥ 0 — условие существования корня (ОДЗ).
- g(x) > 0 — если правая часть неположительна, неравенство неверно.
- f(x) < (g(x))² — возведение в квадрат, законное при выполнении первых двух условий.
Пример 1.1 (Базовый): Решить неравенство: $\sqrt{(2x + 5))} < x + 1$.
$$
\begin{cases}
2x+5 \geqslant 0 \\
x+1 > 0 \\
2x+5 < (x+1)^2
\end{cases}
$$
Решаем каждое неравенство:
- 2x + 5 ≥ 0 → x ≥ −2,5
- x + 1 > 0 → x > −1
- 2x + 5 < x² + 2x + 1 → 5 < x² + 1 → x² > 4 → x ∈ (−∞; −2) ∪ (2; +∞)
Находим пересечение всех трёх условий:
$$
\begin{cases}
x \geqslant −2,5 \\
x > −1 \\
x < −2 \text{ или } x > 2
\end{cases}
$$

x > −1 и x < −2 — пересечения нет.
x > −1 и x > 2 → x > 2.
Ответ: (2; +∞).
Пример 1.2 (Сложнее, проверка границы): Решить неравенство:
$\sqrt{(9−x^2)} \le x + 3$.
Здесь знак «≤», но принцип тот же. Равносильная система:
$$
\begin{cases}
9 − x^2 \ge 0 \\
x + 3 \ge 0 \\
9 − x^2 \le (x+3)^2
\end{cases}
$$
- 9 − x² ≥ 0 → x² ≤ 9 → x ∈ [−3; 3]
- x + 3 ≥ 0 → x ≥ −3
- 9 − x² ≤ x² + 6x + 9 → −x² ≤ x² + 6x → 0 ≤ 2x² + 6x → 2x(x + 3) ≥ 0 → x ∈ (−∞; −3] ∪ [0; +∞)
Находим пересечение:
$$
\begin{cases}
x \in [−3; 3] \\
x \ge −3 \\
x \le −3 \text{ или } x \ge 0
\end{cases}
$$

x ∈ [−3; 3] и x ≥ −3 — это [−3; 3].
[−3; 3] и x ≤ −3 или x ≥ 0 → x = −3 или x ∈ [0; 3].
Проверим x = −3 в исходном неравенстве: √(9 − 9) ≤ 0 → 0 ≤ 0 — верно. Включаем.
Ответ: {−3} ∪ [0; 3].
Тип 2:
$\sqrt{(f(x))} \ge g(x)$ или $\sqrt{(f(x))} > g(x)$
Этот случай распадается на совокупность двух систем:
$$
\left[
\begin{array}{l}
\begin{cases}
g(x) < 0 \\
f(x) \ge 0
\end{cases} \\
\begin{cases}
g(x) \ge 0 \\
f(x) > (g(x))^2
\end{cases}
\end{array}
\right.
$$
Логика:
- Если правая часть отрицательна, неравенство верно везде, где корень существует.
- Если правая часть неотрицательна, можно возводить в квадрат.
Пример 2.1 (Классический): Решить неравенство: $\sqrt{(x+2)} > x$.
Равносильно совокупности:
$$
\left[
\begin{array}{l}
\begin{cases}
x < 0 \\
x+2 \ge 0
\end{cases} \\
\begin{cases}
x \ge 0 \\
x+2 > x^2
\end{cases}
\end{array}
\right.
$$
Решаем первую систему:
$$
\begin{cases}
x < 0 \\
x \ge −2 \\
\end{cases}
$$ → x ∈ [−2; 0)
Решаем вторую систему:
$$
\begin{cases}
x \ge 0 \\
x^2−x−2 < 0 \\
\end{cases}
$$
Решаем x² − x − 2 < 0. Корни: x = −1, x = 2. Решение: x ∈ (−1; 2).
Пересекаем с x ≥ 0: x ∈ [0; 2).
Объединяем решения: [−2; 0) ∪ [0; 2) = [−2; 2).

Ответ: [−2; 2).
Пример 2.2 (С константой): Решить неравенство: $\sqrt{(4x−3)} \ge 2$.
Это частный случай $\sqrt{(f(x))} \ge a$, где a = 2 > 0. Можно решить через общую схему:
$$
\left[
\begin{array}{l}
\begin{cases}
2 < 0 \\
4x − 3 \ge 0
\end{cases} \\
\begin{cases}
2 \ge 0 \\
4x − 3 \ge 4
\end{cases}
\end{array}
\right.
$$
Первая система не имеет решений (2 < 0 — ложно). Решаем вторую:
4x − 3 ≥ 4 → 4x ≥ 7 → x ≥ 7/4.
Не забываем про ОДЗ для корня? Нет, потому что условие 4x − 3 ≥ 4 автоматически сильнее, чем 4x − 3 ≥ 0.
Ответ: [7/4; +∞).
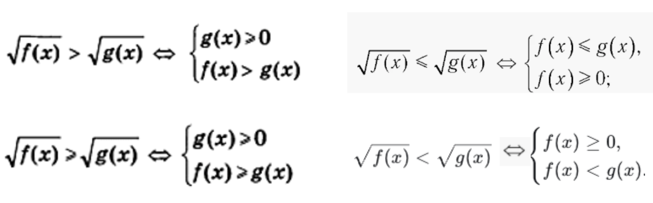
Тип 3: Однородные неравенства
$$
\begin{gathered}
\sqrt{f(x)} < \sqrt{g(x)} \quad \text{или} \quad \sqrt{f(x)} \le \sqrt{g(x)} \\
\sqrt{f(x)} > \sqrt{g(x)} \quad \text{или} \quad \sqrt{f(x)} \ge \sqrt{g(x)}
\end{gathered}
$$
Такие неравенства решаются проще, так как обе части заведомо неотрицательны.
Алгоритм решения:
Пример 3.1: Решить неравенство: $\sqrt{(x^2 − 3x)} < \sqrt{(x + 5)}$.
$$
\begin{cases}
x^2 − 3x \ge 0 \\
x + 5 \ge 0 \\
x^2 − 3x < x + 5
\end{cases}
$$
- x² − 3x ≥ 0 → x(x − 3) ≥ 0 → x ∈ (−∞; 0] ∪ [3; +∞)
- x + 5 ≥ 0 → x ≥ −5
- x² − 3x < x + 5 → x² − 4x − 5 < 0 → (x − 5)(x + 1) < 0 → x ∈ (−1; 5)
Находим пересечение трёх множеств:
- x ∈ (−∞; 0] ∪ [3; +∞)
- x ∈ [−5; +∞)
- x ∈ (−1; 5)

Пересечение (−∞; 0] и (−1; 5) и [−5; +∞) → (−1; 0].
Пересечение [3; +∞) и (−1; 5) → [3; 5).
Ответ: (−1; 0] ∪ [3; 5).
Тип 4: Неравенства с двумя корнями
Стратегия: перенести один корень в другую часть, чтобы получить уже разобранные типы.
Пример 4.1: Решить неравенство: $\sqrt{(x + 3)} > \sqrt{(2x — 5)} + 1$.
Сначала ОДЗ для всех корней:
$$
\begin{gathered}
\begin{cases}
x + 3 \ge 0, \\
2x − 5 \ge 0
\end{cases} \\
\rightarrow \\
\begin{cases}
x \ge −3, \\
x \ge 2,5
\end{cases} \\
\rightarrow x \ge 2,5
\end{gathered}
$$
Теперь преобразуем. Вычитать корень неудобно, лучше оставить один:
$\sqrt{(x + 3)} − \sqrt{(2x − 5)} > 1$
Это неравенство вида f(x) > 1.
Но f(x) может быть как положительной, так и отрицательной. Найдём, где оно положительно:
$\sqrt{(x + 3)} > \sqrt{(2x − 5)}$ → возводим в квадрат → x + 3 > 2x − 5 → x < 8
Итак, на [2,5; 8) левая часть положительна, на (8; +∞) — отрицательна.
Решаем по случаям:
1. На [2,5; 8) можно возводить в квадрат:
$(\sqrt{(x+3)} − \sqrt{(2x-5)})^2 > 1$
$(x+3) + (2x−5) − 2\sqrt{((x+3)(2x−5))} > 1$
$3x − 2 − 2\sqrt{(2x^2 + x − 15)} > 1$
$−2\sqrt{(2x^2 + x − 15)} > 3 − 3x$
Домножим на −1 (знак меняется!):
$2\sqrt{(2x^2 + x − 15)} < 3x − 3$
Теперь стандартный алгоритм для $\sqrt{(f(x))} < g(x)$:
$$
\begin{cases}
2x^2 + x − 15 \geq 0 \\
3x − 3 > 0 \\
2\sqrt{(2x^2 + x − 15)} < 3x − 3
\end{cases}
$$
Упростим третье неравенство (возведём в квадрат):
$$
\begin{align*}
4(2x^2 + x − 15) &< (3x − 3)^2 \\
8x^2 + 4x − 60 &< 9x^2 − 18x + 9 \\
0 &< x^2 − 22x + 69 \\
x^2 − 22x + 69 &> 0
\end{align*}
$$
Корни: x = 11 ± √(121 − 69) = 11 ± √52 = 11 ± 2√13.
Решение: x ∈ (−∞; 11 − 2√13) ∪ (11 + 2√13; +∞).
Теперь пересекаем с:
\begin{gather*}
x \in [2,5; 8) \quad \text{(наш случай)} \\
2x^2 + x − 15 \geq 0 \to x \leq −3 \text{ или } x \geq 2,5 \quad \text{(уже учтено)} \\
3x − 3 > 0 \to x > 1 \quad \text{(учтено)} \\
x \in (−\infty; 11 − 2\sqrt{13}) \cup (11 + 2\sqrt{13}; +\infty)
\end{gather*}

Пересечение [2,5; 8) и (−∞; 11 − 2√13) → [2,5; 11 − 2√13).
2. На [8; +∞) левая часть √(x + 3) – √(2x − 5) отрицательна (проверь при x = 8: √11 − √11 = 0, при x>8 первый корень меньше второго). Отрицательное число не может быть > 1. Решений нет.
Ответ: [2,5; 11 − 2√13)
Итоговая методика решения
- Определи тип. Найди похожий случай среди разобранных.
- Запиши равносильную систему/совокупность. Не пренебрегай ОДЗ!
- Реши каждое неравенство в системе. Найди числовые промежутки.
- Найди пересечения (для систем) и объединения (для совокупностей).
- Запиши ответ, проверив границы.
Главная ошибка на ЕГЭ — возведение в квадрат без анализа знаков. Следуя этим алгоритмам, ты избежишь её и успешно справишься с иррациональным неравенством.
Автор:
Доброва Дарья, методист «100балльного репетитора» по математике ОГЭ/10 класса