Что такое линейная функция
Линейная функция или функция прямой пропорциональности задаётся уравнением y = kx + b или f(x) = kx + b. Графиком является прямая, а k, b — коэффициенты, то есть числа, которые и делают функцию уникальной и особенной. Причём каждый из них, при более близком знакомстве, обладает важным смыслом: k — коэффициент угла наклона этой прямой относительно положительного направления оси абсцисс (проще говоря, он отвечает за то, острый или тупой угол образуется заданной прямой и правым куском оси Ox). А вот b — отвечает за точку, в которой график пересекает ось ординат (его значение = значению y при x = 0).
По внешнему виду графика мы можем сразу определить знаки для коэффициентов.
Если угол острый, то k > 0 и функция является возрастающей, а если тупой, то k < 0 и функция является убывающей. И наоборот.
Если b > 0 , то точка пересечения будет выше начала координат, и наоборот, если b < 0, то ниже.
Способы решения задани
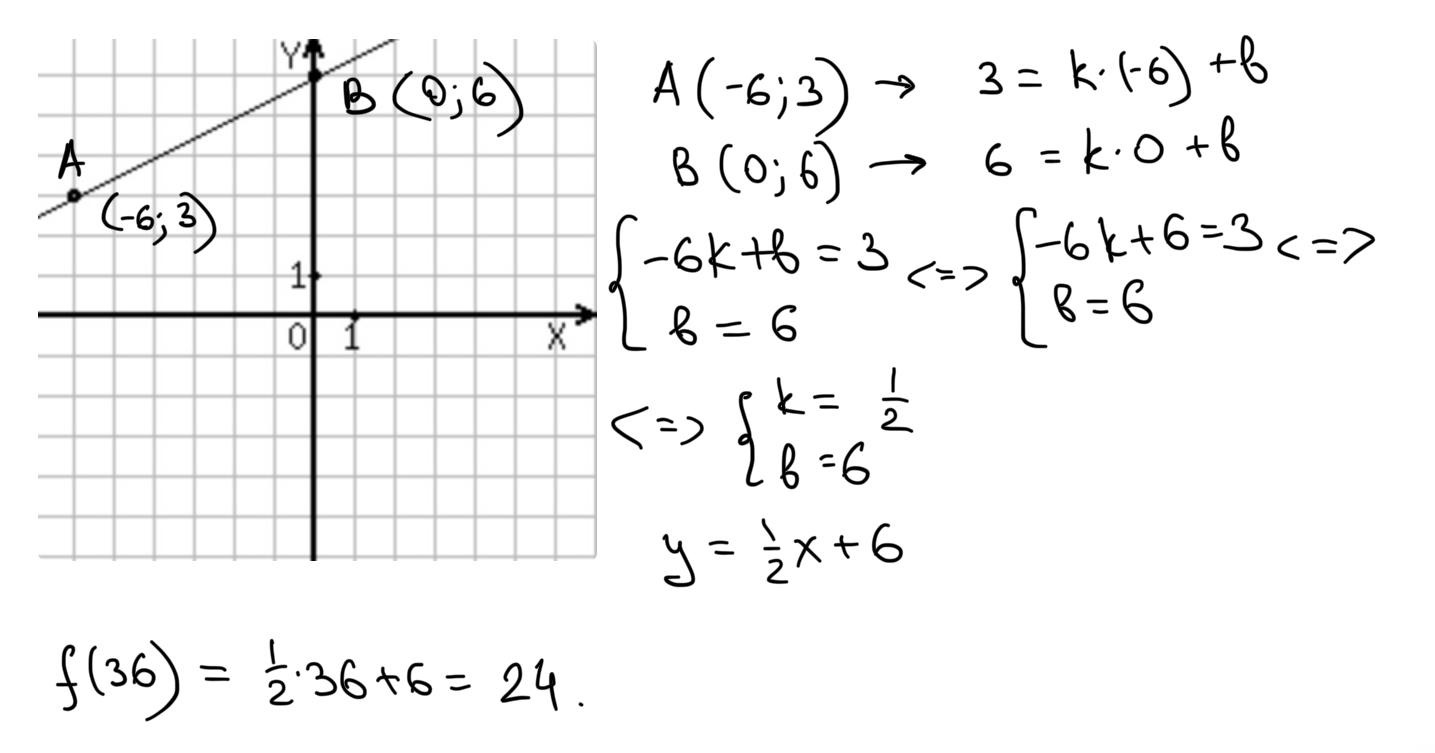
Пример 1. На рисунке изображён график функции f(x) = kx + b. Найти f(36).
Чтобы решить задание, необходимо вычислить значения коэффициентов k, b и составить уравнение прямой. Для этого есть несколько способов.
Первый способ — универсальный: составить систему уравнений с конкретными координатами точек, принадлежащих графику. Тут важно запомнить: если неизвестно два коэффициента, то нужно использовать координаты двух точек и решать систему из двух уравнений. Если три коэффициента, три точки — система из трёх уравнений.
Например, в этом задании у нас два неизвестных, поэтому уже на самом графике можно наблюдать две выделенные точки (но использовать можно любые удобные).


Конечно, можно всегда решать похожие задания с помощью системы уравнений и радоваться, но это очень затратно по времени, которого очень не хватает на экзамене. да и просто для второй проверки себя полезно уметь хитрить и упрощать себе жизнь без долгих вычислений.
Второй способ: использование свойств коэффициентов и смещение графика.
Так как мы знаем, за что отвечает коэффициент b, то сразу же по графику мы видим, что есть точка B — точка пересечения с осью Oy, а значит, b = 6.
Тогда f(x) = kx + 6, ну а чтобы вычислить k, берём любую другую точку и подставляем координаты, аналогично как в первом способе.
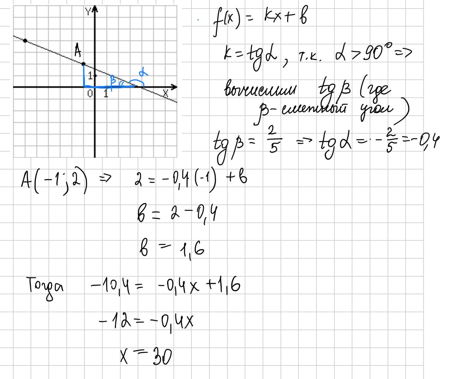
Если мы видим, что уравнение приобрело вид f(x) = k (x + a) + b — то график смещается влево при a > 0 или вправо при a < 0, вверх при b > 0 и вниз при b < 0.
На нашем примере мы сейчас вспомним ещё одно важное свойство коэффициента: k = tg α = f'(x).
Для наглядности давай нашу прямую сместим вниз на 3 единицы (выполним параллельный перенос) и заметим, что угол наклона прямой остаётся неизменным. Далее достроим до прямоугольного треугольника, где гипотенузой будет являться отрезок нашей прямой и вычислим тангенс угла наклона. Это и есть значение коэффициента k.

Прямоугольный треугольник можно строить и без переноса. Только нужно быть внимательным: при тупом угле наклона тангенс считается для смежного угла, а потом перед ним ставится знак «минус», и получается нужное значение.
Пример 2. На рисунке изображён график функции f(x) = kx + b. Найти значение x, при котором f(x) = -10,4..


Ответ: 30.
Автор:
Фролов Павел, методист «100балльного репетитора» по математике ЕГЭ